| 일 | 월 | 화 | 수 | 목 | 금 | 토 |
|---|---|---|---|---|---|---|
| 1 | 2 | 3 | 4 | 5 | 6 | 7 |
| 8 | 9 | 10 | 11 | 12 | 13 | 14 |
| 15 | 16 | 17 | 18 | 19 | 20 | 21 |
| 22 | 23 | 24 | 25 | 26 | 27 | 28 |
| 29 | 30 | 31 |
Tags
- 데이터베이스
- github
- mysql
- MLOps
- Ai
- LV 0
- Java
- Python
- 머신러닝
- 알고리즘
- 우분투
- Lv 2
- docker
- Kubernetes
- programmers
- 정처기
- 파이썬
- 리눅스
- 자바
- 자료구조
- 코테
- 쿠버네티스
- ubuntu
- git
- Linux
- DevOps
- 코딩테스트
- 인공지능
- db
- 프로그래머스
Archives
- Today
- Total
Myo-Kyeong Tech Blog
[ AI / 데이터분석 ] 인공지능 개념 정리 - 퍼셉트론 ( Perceptron ) 본문
728x90
반응형
퍼셉트론 ( Perceptron )

퍼셉트론은 인공 신경망의 한 종류로, 뉴런의 모델을 모방하여 입력층, 출력층을 구성한 모델입니다.
퍼셉트론 구조 및 절차

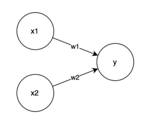
퍼셉트론은 다수의 신호를 입력으로 받아 하나의 신호를 출력합니다.
위의 사진은 2개로 신호로 받는 퍼셉트론입니다. x1,x2는 입력값, w1, w2는 가중치, y는 출력값을 의미합니다.

- 입력값을 입력 (x1, x2)
- 설정된 가중치(w1, w2) 와 입력값을 곱함
- 계산된 값을 더함
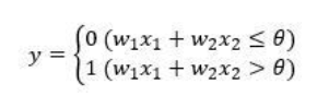
- 활성화 함수를 적용
- 결과값(y) 도출
결과값이 특정 임계치를 넘으면 1, 넘지 못하면 0을 출력하게 됩니다.
퍼셉트론의 한계 ( XOR )

위의 사진과 같이 검은 점과 흰 점이 놓여져 있을 때 , 선을 어떻게 그어도 같은 색 점끼리 나눌 수 없는 문제가 발생하게 됩니다.

XOR 문제를 해결하기 위해서는 한 개의 직선으로는 그릴 수 없으며, 곡선을 그리거나, 2개의 직선을 그려야 합니다. 이러한 한계를 극복하기 위해 다층 퍼셉트론 (MLP) 가 등장하게 됩니다.
다층 퍼셉트론 ( Multi - Layer Perceptron : MLP )

REFERENCE
- https://ardinolab.com/%EB%8B%A8%EC%B8%B5%ED%8D%BC%EC%85%89%ED%8A%B8%EB%A1%A0%EC%9D%98-%EB%AC%B8%EC%A0%9C%EC%99%80-%ED%95%9C%EA%B3%84/
- https://compmath.korea.ac.kr/appmath2021/Perceptron.html
- https://velog.io/@skyepodium/%ED%8D%BC%EC%85%89%ED%8A%B8%EB%A1%A0%EC%9D%B4%EC%99%9C-XOR-%EB%AC%B8%EC%A0%9C%EB%A5%BC-%EB%AA%BB%ED%91%B8%EB%8A%94%EC%A7%80-%EC%95%8C%EC%95%84%EB%B3%B4%EA%B8%B0
728x90
반응형
'AI' 카테고리의 다른 글
| [AI / 데이터분석 ] Overfitting과 Early Stopping (0) | 2023.05.10 |
|---|---|
| [AI / 데이터분석] 지도학습 - 회귀분석과 분류분석 (0) | 2023.05.09 |
| [ AI / 데이터분석 ] 인공지능 개념 정리 - 경사하강법, 손실함수, 학습률 (0) | 2023.05.09 |
| [ AI / 데이터분석 ] 인공지능 개념 정리 - 머신러닝 VS 딥러닝 (0) | 2023.05.08 |
| [AI / 데이터 분석] Anaconda 설치 및 가상환경 생성 (0) | 2023.05.08 |