| 일 | 월 | 화 | 수 | 목 | 금 | 토 |
|---|---|---|---|---|---|---|
| 1 | 2 | 3 | 4 | |||
| 5 | 6 | 7 | 8 | 9 | 10 | 11 |
| 12 | 13 | 14 | 15 | 16 | 17 | 18 |
| 19 | 20 | 21 | 22 | 23 | 24 | 25 |
| 26 | 27 | 28 | 29 | 30 |
Tags
- MLOps
- 인공지능
- 코딩테스트
- 자료구조
- programmers
- Linux
- mysql
- 정처기
- Python
- DevOps
- 리눅스
- docker
- 파이썬
- Kubernetes
- 프로그래머스
- 머신러닝
- 우분투
- 알고리즘
- Java
- github
- ubuntu
- 코테
- 쿠버네티스
- 자바
- db
- Ai
- git
- Lv 2
- 데이터베이스
- LV 0
Archives
- Today
- Total
Myo-Kyeong Tech Blog
[ AI / 데이터분석 ] 인공지능 개념 정리 - 경사하강법, 손실함수, 학습률 본문
728x90
반응형
손실함수 ( Loss Function ) 란?
- 정답과 예측 간의 차이를 계산하는 함수
- 값이 낮을수록 학습이 잘 된 것을 의미하며, 최적의 매개변수 (가중치, 편향) 을 탐색할 때 손실함수가 작은 값을 찾음.
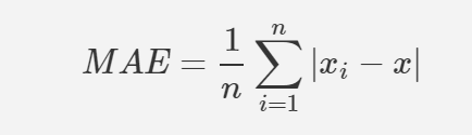
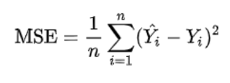
대표적인 손실함수 ( MAE & MSE )
- 평균 절대 오차 ( MAE ) - 정답과 예측 차이에 대한 절대값의 평균

- 평균 제곱 오차 ( MSE ) - 정답과 예측 차이에 대한 제곱의 평균

[참고]
언제 MSE, MAE, RMSE를 사용하는가?
제목에 열거한 RMSE, MSE, MAE는 딥러닝 모델을 최적화 하는 데 가장 인기있게 사용되는 오차 함수들이다. 이번 포스팅에서는 (1) 이들의 특징을 알아보고, (2) 이 3 가지 손실 함수를 비교 분석해본다
jysden.medium.com
경사하강법 ( Gradient Descent )

- 딥러닝 알고리즘 학습 시 사용되는 최적화 기법 중 하나.
- x는 가중치, y는 손실 함수를 의미
- 손실 함수의 크기를 최소화시키는 파라미터를 찾는 것
학습률 ( learning rate )

- 학습률 (learning rate) 가 큰 경우 - 한 번 이동하는 거리가 크므로 시간이 적게 소요되지만 극소점으로 가는 방향과 반대로 이탈하는 문제가 발생할 수 있음.
- 학습률 (learning rate) 가 작은 경우 - 최적의 값을 구하는 데 소요되는 시간이 오래 걸림.
- 적절한 학습률 설정하는 게 중요.
728x90
반응형
'AI' 카테고리의 다른 글
| [AI / 데이터분석 ] Overfitting과 Early Stopping (0) | 2023.05.10 |
|---|---|
| [AI / 데이터분석] 지도학습 - 회귀분석과 분류분석 (0) | 2023.05.09 |
| [ AI / 데이터분석 ] 인공지능 개념 정리 - 퍼셉트론 ( Perceptron ) (0) | 2023.05.08 |
| [ AI / 데이터분석 ] 인공지능 개념 정리 - 머신러닝 VS 딥러닝 (0) | 2023.05.08 |
| [AI / 데이터 분석] Anaconda 설치 및 가상환경 생성 (0) | 2023.05.08 |